icone manquant

Marc ARCHAMBAULT . fr

Ecologie Non Financière


Personnel / Politique / Informatique / E.N.F

INTERVALLE CO2


première analyse basée sur les émissions

de CO2 liées au déplacement de l'hôpital


Il faut bien attraper le cactus par un bout ...

... alors j'ai décidé de l'attraper par l'exemple de l'hôpital médian ; et c'est déjà le moment de s’apercevoir qu'aucun carriériste politique ne parle des problèmes de CO2 liés au système de santé. Aucun carriériste politique ne parle de cet hôpital tout neuf qui était saturé durant la pandémie. Aucun carriériste politique ne semble s’apercevoir de la saturation de l'autoroute en poids lourds, cette autoroute que l'on prends sur 1,9 Km en allant de Belfort à cet hôpital médian. Où sont les réflexions, celle qu'on n'ose tout juste faire en passant devant la gare de Belfort où les quais de chargement de marchandises sont maintenant détruits. mais qu'est ce qu'il est beau ce parvis, il y a même des arbres ...

... ces arbres là ne cachent pas la forêt, non ils ne cachent aucune forêt, il font semblant de la remplacer pour faire oublier qu'on la détruit !

1) Vidéo

 

2) Ecart entre la pollution et l'argent

Dans les films la pollution est généralement présentée simplement, on a par exemple un camion qui se débarrasse d'un déchet dans la nature pour ne pas payer le retraitement. Ca c'est ce que j'appelle un écart de 1 : on jette et on économise directement.

Avec le CO2 c'est presque toujours compliqué ! Voici le graphe correspondant à la construction de l'hôpital médian, j'estime la production de gaz à effet de serre à 190 000 T(CO2). Pour avoir le détail cliquez sur le lien -Bombe climatique- dans la colonne de gauche. image manquante

L'écart est ici de 6, en clair : l’intérêt financier se situe 6 étapes après la pollution au CO2. On peut aussi considérer que la difficulté de décryptage démocratique est de 6 (disons 6 u3d = 6 unités de difficulté de décryptage démocratique)

Voyons ses étapes :

  • L'étape maîtresse est au centre : c'est le projet -pôle métropolitain- . Ce projet politique consiste à faire une sorte d'association entre Belfort, Montbéliard et d'autres communes. On peut le voir comme une grosse communauté de communes.
  • Pour faire correspondre une situation physique à cette notion il faut concevoir une mégalopole artificielle, c'est à dire décider de mettre entre Belfort et montbéliard des constructions qui donnent une image de continuité urbaine. Cette image étant un trucage la continuité entre les villes prend la forme d'une bande assez fine. Pour simplifier la bande se situe le long de l'autoroute A36. Elle est donc conjuguée à un 2e trucage : l'autoroute à péage déporté. Et ça c'est compliqué aussi : l'autoroute entre Belfort et Montbéliard est à péage mais on ne paye pas sur ce tronçon ; on paye entre le sud de Montbéliard et Besançon, Beaune, Paris Lyon etc... Du coup si on ne fait que le trajet Belfort-Monbéliard alors on échappe au péage.
  • Ces constructions transforment les sols naturels (forêts ...) et agricoles (surtout des prairies) en routes, ponts et bâtiments c'est l'artificialisation des sols.
  • Une fois le trucage suffisamment avancé il devient possible de créer une sorte de grosse communauté de commune.
  • Cette communauté de commune aura bien évidemment besoin d'un budget.
  • Si elle est autonome (ce qui serait regrettable) elle pourra emprunter de l'argent et fonctionner par la dette.

     

    3) Axe imaginaire et diversions

    Cette succession d'étapes n'est pas électoralement suffisante, quand on pollue et que ça rapporte il faut faire croire que ce que l'on fait est bien. Il faut ajouter une diversion qui complique le raisonnement de l'électeur ou mieux : une diversion qui entraîne l'approbation de ceux qui veulent faire l'économie de leur réflexion.

    image manquante

    Voyons ses plots imaginaires :

  • Le premier c'est l'aspect -bois- de l'hôpital et son insertion dans le paysage.

    image manquante

    Quand on voit la photo ci-dessus on n'imagine pas naturellement que le CO2 généré par la construction de l'édifice correspond au remplacement d'environ 75% de l’air qui est à sa verticale par du CO2.

    image manquante

    Retenons qu'en matière de CO2 l'aspect écologique peut servir à cacher la pollution. Un travail d'apprentissage est nécessaire. Comparons avec un blindé militaire dissimulé sous un filet sur lequel sont collées des feuilles d'arbre ; quand vous voyez le filet vous pouvez deviner qu'il y a probablement un char en dessous. En écologie non financière si vous voyez quelque chose qui fait écolo et qu'il y a un intérêt financier , ayez un doute !

  • Le second point est en fait un groupe compté comme 2 plots. C'est un assemblage de thèses en partie virtuelles : la notion de gauche sans qu'elle corresponde à un parti, le communisme sans qu'il soit dictatorial, le partage obligatoire et apprécié, la propriété que la notion de gauche exercerait sur la notion d'écologie.

      Ecart (difficulté d'analyse et masquage) : 7.6 u3d (*1)

    Calculé par la méthode de Pythagore

     

    4) Axes complémentaires - Intervalle (*2)

    Le lien entre les pollutions et l'argent se fait de plusieurs manières, il faut donc évaluer globalement le projet.

    image manquante

    On peut ajouter 2 axes :

  • L'axe des dépenses du système de santé. La mutualisation de la fonction hospitalière devrait permettre des économies de capacité.
  • L'axe des déplacements. Les dépenses de déplacement des personnels de santé, des patients et des visiteurs augmentent.

    Le nombre d'axes étant supérieur à 3 je propose de retenir l'appellation d'intervalle. (*2)

    Calcul de l'intervalle (*2)

    soit n axes d'action Xi

    soit m axes de diversion Yj

    chaque axe d'action Xi est porteur d'un écart d'action ei

    chaque axe de diversion Yj est porteur d'un écart de diversion dj

    l'intervalle I est défini par :

    image manquante

    J'ai choisi un calcul de forme quadratique par optimisme, c'est rare chez moi et j'en profite pour le signaler. Après réflexion, la multiplication des axes et l’augmentation de la complexité du problème permet aussi son repérage par un observateur averti. Et une fois que le problème est repéré on peut chercher à le résoudre.

    image manquante

     

    5) Projections sur des plans particuliers

    image manquante

    Il y a 2 plans de projection opportunistes

  • la justification d'une autoroute à péage dont la première concession a plus d'un demi siècle.
  • la justification d'un parking payant à l'hôpital médian

    Il y a 2 plans de FAUSSE projection

  • les idéologies de diversion sont renommés par les médias partis ou courants de gouvernement (surtout gauche de gouvernement)
  • dans les cercles politiques la mise en place de ce type de projets suscite le respect. Ce qui en dit long sur les décalages de jugement.

    homogénéité

    ses considérations sont homogène avec l'unité u3d (*1) à condition de :

  • considérer les plans opportunistes comme des axes supplémentaires
  • ajouter les plans faux au résultat

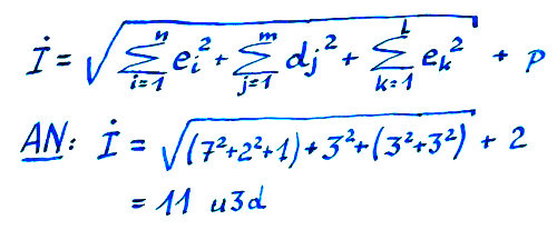
    Calcul de l'intervalle (*2)

    soit n axes d'action Xi

    soit m axes de diversion Yj

    soit l axes d'action Zk correspondant aux plans opportunistes

    chaque axe d'action Xi est porteur d'un écart d'action ei

    chaque axe de diversion Yj est porteur d'un écart de diversion dj

    chaque axe d'action Zk est porteur d'un écart d'action ek

    il y a p plans de fausse projection

    l'intervalle I est défini par :

    image manquante

    Nous y voilà : pour le projet hôpital médian le problème des émission de CO2 est de difficulté 11 u3d (*1)

    Mais heureusement les diversions et les plans opportunistes sont faciles à repérer

    Ensuite on peut démanteler ces projets

     

     

     

     

     

     


    Repères et références :

    (*0) : Le logo de la page a été réalisé en transformant une image de la NASA téléchargée sur Wikipedia

    (*1) : u3d : unité de difficulté de décryptage démocratique

    cette unité caractérise la difficulté que l'on a pour faire le lien entre la pollution et l'argent

    (*2) : le terme intervalle est inspiré par la théorie de la relativité

    en écologie non financière son unité est u3d et il n'a aucun lien avec l'axe des temps.


    Mise à jour : 27 mai 2022

    Versions historiques de la page :

  • 15 mai 2022

  • Contact : contact@marcarchambault.fr